´úл¼°ÐÄѪ¹Ü¼²²¡Ä£ÐÍ
»úÌå´úлÎÉÂÒ»áÒýÆð´úлÎïÖÊÔÚÌåÄÚ²»Õý³£µÄ¾Û¼¯»òȱ·¦£¬´Ó¶øµ¼ÖÂһϵÁÐÓë´úлÏà¹Ø¼²²¡µÄ·¢Éú£¬ÑÏÖØÍþвÈËÀ࿵½¡¡£ogÊÓѶ¹ÙÍø×¢²áƽ̨×ÔÖ÷Ñз¢Ò»ÏµÁдúл¼²²¡Ä£ÐÍ£¬Èç·ÊÅÖ¡¢ÌÇÄò²¡¡¢¸ß֬Ѫ֢¡¢´úл¹¦Ð§ÕϰÏà¹ØÖ¬·¾ÐԸβ¡¡¢Í´·ç/¸ßÄòËáѪ֢¡¢¹ÇÖÊÊèËÉÖ¢µÈ£¬ÓÃÓÚÖ²¡»úÖÆÑо¿¼°Ïà¹ØÖÎÁÆÒ©Î↑·¢¡£
·ÊºñÐÍÐ¡£¨HCM£©ÊÇÒ»ÖÖ³£¼ûµ«ÅÓ´óµÄÒÅ´«ÐÔÐÄÔಡ£¬ÆäÌØÕ÷ÊÇÐļ¡·Êºñ£¬×î³£ÀÛ¼°×óÐÄÊÒ¡£ÓëÐÄÔ༡½ÚÂѰ×Ïà¹ØµÄ»ùÒò£¨Èç MYBPC3¡¢MYH7 ºÍ TNNT2£©Í»±ä¿É±»µ¼È붯ÎïÌåÄÚ¡£ÕâЩͻ±ä»áÆÆ»µÐÄÕý³£½á¹¹ºÍ¹¦Ð§£¬½ø¶øµ¼Ö·ʺñÐÍÐ¡µÄ·¢Éú¡£ogÊÓѶ¹ÙÍø×¢²áƽ̨ÒÑ¿ª·¢³ö¾ßÓзʺñÐÍÐ¡±íÐ굀 Myh6 R404Q СÊóºÍ Mybpc3 KOСÊ󣬲¢¿É»ùÓÚÕâЩģÐÍÌṩ³ÉÊìµÄҩЧÆÀ¹À·þÎñ¡£
Ïà¹ØÄ£ÐÍ
1. ·ÊºñÐÍÐ¡Ä£ÐÍ-Mybpc3 KO
Ä£ÐͽéÉÜ
MYBPC3 »ùÒò±àÂëÐ¡ÇòÂѰ׽áºÏÂÑ°× C£¨cMyBP-C£©£¬ÕâÊÇÒ»ÖÖÓë´Ö¼¡Ë¿Ïà¹ØµÄÂѰ×ÖÊ£¬Í¨¹ýµ÷Öμ¡¶¯ÂÑ°× - ¼¡ÇòÂѰ׺áÇÅÏ໥×÷Óã¬ÔÚµ÷¿ØÐļ¡ÊÕËõºÍÊæÕÅÀú³ÌÖз¢»ÓÒªº¦×÷Óá£ËüÈçͬһ¸ö ¡°É²³µ×°Öá±£¬ÏÞÖÆÌ«¹ýµÄºáÇÅÑ»·£¬Î¬³Ö¼¡½Ú½á¹¹ÍêÕûÐԺ͸ÆÃô¸ÐÐÔ¡£MYBPC3 KOСÊóÌåÏÖ³öÀëÐÄÐԷʺñÐÍÐ¡£¬ÆäÌØÕ÷Ϊ×óÐÄÊÒÀ©ÕÅ¡¢ÊÕËõ¹¦Ð§½µµÍÒÔ¼°ÐĵçͼÒì³££¨Èç ST ¶Î̧¸ß£©¡£ÕâЩСÊó»¹ÌåÏÖ³ö¼¡ÇòÂѰ×Ñ»·¶¯Á¦Ñ§¼ÓËÙºÍÐÄÂÉʧ³£Ò׸ÐÐÔÔö¼ÓµÄÏÖÏó£¬ÓëÈËÀà MYBPC3 ÏàÌåÌù¼¡²¡µÄ²¡ÀíÌØÕ÷ÏàËÆ¡£
ÑéÖ¤Êý¾Ý
¢Ù ÂѰ×ÇóýÑéÖ¤

ͼ 1. Mybpc3 KOСÊóÐÄÔàÖв»±í´ï MYBPC3 ÂѰ×
¢Ú Mybpc3 KOСÊóÔÚ³öÉúºóµÚ 14 ÌìÌåÏÖ³öÀëÐÄÐԷʺñÐÍÐ¡

ͼ 3. Mybpc3 KOСÊóÔÚ P14 ʱµÄ³¬ÉùÊý¾Ý
³¬ÉùÐĶ¯Í¼·ÖÎöÏÔʾ£¬ÓëÒ°ÉúÐͶÔÕÕСÊóÏà±È£¬Mybpc3 KOСÊóÐÄÔàÏÔÖøÔö´ó¡£Mybpc3 KOСÊóÐÄÔàÔÚÊæÕÅÄ©ÆÚÊÒ¼ä¸ôºñ¶È£¨IVSd£©ºÍÊæÕÅÄ©ÆÚ×óÐÄÊÒºó±Úºñ¶È£¨LVPWd£©¾ùÏÔÖøÔö¼Ó£¬ÇкÏÐļ¡·ÊºñÌØÕ÷¡£Í¬Ê±£¬×óÐÄÊÒÊæÕÅÄ©ÆÚÈÝ»ý£¨LVEDV£©ºÍÊÕËõÄ©ÆÚÈÝ»ý£¨LVESV£©²¡ÀíÐÔÉý¸ß£¬ÉäѪ·ÖÊý£¨EF£©ºÍËõ¶Ì·ÖÊý£¨FS£©½µµÍ£¬ÅäºÏ½²Ã÷ÐÄÊÒÀ©ÕźÍÊÕËõ¹¦Ð§ÊÜËð¡£ÕâЩ½á¹¹ºÍ¹¦Ð§Òì³£½²Ã÷£¬Mybpc3 »ùÒòȱʧÓëÇà´ºÆÚÀëÐÄÐԷʺñÐÍÐ¡µÄ·¢Éú´æÔÚÒò¹û¹ØÏµ£¬ÖØÏÖÁËÈËÀà MYBPC3 ÏàÌåÌù¼¡²¡µÄÌØÕ÷¡£
¢Û Mybpc3 KOСÊóµÄÐÄÔಡÀíÌØÕ÷

ͼ3 3ÔÂÁäMybpc3 KOСÊóÐÄÔàµÄ²¡Àí·ÖÎö
ÓëÒ°ÉúÐͶÔÕÕСÊóÏà±È£¬Mybpc3 KOСÊóÐÄÔàÏÔÖøÔö´ó£¬ÐÄÔàÖØÁ¿ÓëÌåÖØ±È£¨HW/BW£©ÏÔÖøÉý¸ß¡£Í¨¹ýH&EȾɫºÍMassonȾɫµÄ×éÖ¯²¡Àíѧ·ÖÎöÏÔʾ£¬Mybpc3 KOСÊóÐÄÔàÖдæÔÚÃ÷ÏÔµÄÐļ¡Ï¸°û·Ê´óºÍ¹ã·ºµÄÐļ¡ÏËά»¯£¬ÌåÏÖΪÐļ¡ÏËάÔö´óºÍ½ºÔ³Á»ý£¬ÓÈÆäÔÚѪ¹ÜÖÜΧºÍ¼äÖÊÇøÓò¸üΪÃ÷ÏÔ¡£ÕâЩ½á¹¹Òì³£ÓëÀëÐÄÐԷʺñµÄ±íÐÍÌØÕ÷Ò»Ö£¬·´Ó³ÁË´ú³¥ÐÔÊÊÓ¦ÐÔÖØËܺͽøÐÐÐÔ²¡Àíʧ´ú³¥¡£ÖµµÃ×¢ÒâµÄÊÇ£¬ÏËά»¯²¡±ä³Ê°ßƬ״ÂþÑÜ£¬½²Ã÷ÔÚȱ·¦¹¦Ð§ÐÔ Mybpc3 µÄÇé¿öÏ£¬ÓÉÓÚÁ¬ÐøµÄÉúÎïÁ¦Ñ§Ó¦Á¦µ¼ÖÂϸ°ûÍâ»ùÖʸüÐÂʧµ÷¡£
2. Myh6 R404Q+/?
Ä£ÐͽéÉÜ
Myh7ÁÙ´²·ÊºñÐÍÐ¡ÈËÖз¢ÏÖµÄ×î¸ßƵͻ±äÖ®Ò»¡£Ð¡ÊóMyh7±í´ïÁ¿µÍ£¬ÇÒ²»¼ÓÈëÐÄÊÒ¼¡ÇòÂѰ×ÖØÁ´¶þ¾ÛÌå×é³É¡£Ð¡ÊóMyh6»ùÒòÓëÈËÀàµÄ Myh7 »ùÒò¾ßÓи߶ÈͬԴÐÔ£¬¶þÕß¶¼Ö÷ÒªÔÚÐÄÊÒÐļ¡Ï¸°ûÖбí´ï£¬¶ÔÐļ¡ÊÕËõÁ¦Æð×ÅÒªº¦µÄµ÷ÖÎ×÷Óá£Myh6 »ùÒò±àÂë ¦Á- ¼¡ÇòÂѰ×ÖØÁ´£¨¦Á-MHC£©£¬ÊÇÐļ¡ÖеÄÒ»ÖÖÒªº¦ÊÕËõÂѰף¬Í¨¹ýÒÀÀµ ATP µÄ¼¡¶¯ÂÑ°× - ¼¡ÇòÂѰ׺áÇÅÑ»·£¬Çý¶¯¼¡½Ú×é×°ºÍÐļ¡ÊÕËõ¡£Ð¡Êó Myh6 »ùÒòµÚ 404 λ°±»ùËá²Ð»ù¼°ÆäÖÜΧÐòÁУ¬ÓëÈËÀà Myh7 »ùÒòµÚ 403 λ²Ð»ùÇøÓò¾ßÓи߶ÈͬԴÐÔ¡£Myh6»ùÒòR404QÍ»±ä»áÆÆ»µ¼¡ÇòÂѰ×ÖØÁ´ÓëÐ¡ÇòÂѰ׽áºÏÂÑ°× C£¨cMyBP-C£©Ö®¼äµÄ½áºÏÇ׺ÍÁ¦£¬ÕâÓëÈËÀà Myh7»ùÒò R403Q ±äÒìµÄÖ²¡»úÖÆÏàËÆ£¬Äܹ»ÖØÏÖÈËÀà·ÊºñÐÍÐ¡µÄ²¡ÀíÌØÕ÷¡£
ÑéÖ¤Êý¾Ý
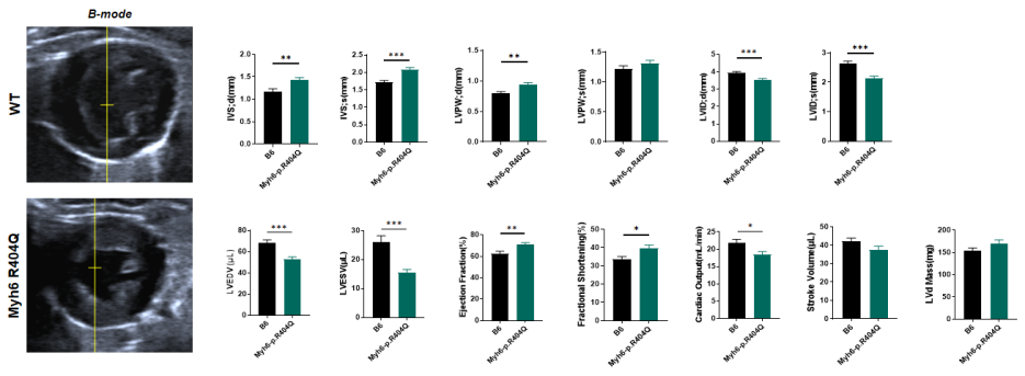
¢Ù Myh6 R404Q+/?СÊóÔÚ4ÔÂÁäºó·ºÆðÏòÐÄÐԷʺñÐÍÐ¡

ͼ1. Myh6 R404Q+/?СÊó4ÔÂÁäµÄÐij¬Êý¾Ý
³¬ÉùÐĶ¯Í¼·ÖÎöÏÔʾ£¬ÓëÒ°ÉúÐͶÔÕÕСÊóÏà±È£¬Myh6 R404Q+/?СÊó·ºÆðÃ÷ÏÔµÄÐÄÔà·Êºñ¡£Í»±äСÊóÐÄÔàµÄÊæÕÅÄ©ÆÚÊÒ¼ä¸ôºñ¶È£¨IVSd£©ºÍÊæÕÅÄ©ÆÚ×óÐÄÊÒºó±Úºñ¶È£¨LVPWd£©¾ùÏÔÖøÔö¼Ó£¬µ«×óÐÄÊÒÊæÕÅÄ©ÆÚÈÝ»ý£¨LVEDV£©ºÍÊÕËõÄ©ÆÚÈÝ»ý£¨LVESV£©¼õС£¬Í¬Ê±ÉäѪ·ÖÊý£¨EF£©ºÍËõ¶Ì·ÖÊý£¨FS£©ÂÔÓÐÉý¸ß¡£ÕâЩ½á¹¹ºÍ¹¦Ð§Òì³£½²Ã÷£¬Myh6 »ùÒòÍ»±äÓëÏòÐÄÐԷʺñÐÍÐ¡µÄ·¢Éú´æÔÚÒò¹û¹ØÏµ£¬¸ß¶ÈÖØÏÖÁËÈËÀà Myh7 ÏàÌåÌù¼¡²¡µÄÌØÕ÷¡£n = 10£¬Êý¾ÝÒÔMean¡ÀSEMÌåÏÖ¡£*P<0.05£¬**P<0.01£¬***P<0.001 by t-test¡£
¢Ú Myh6 R404Q+/?СÊóÔÚ³öÉú 8 ¸öÔ弗ἮðÑÏÖØµÄÏòÐÄÐԷʺñÐÍÐ¡

ͼ 2. Myh6 R404Q+/?СÊó8ÔÂÁäµÄÐij¬Êý¾Ý
Myh6 R404Q+/?СÊó³öÉúºó¿É´æ»î³¤´ï 8 ¸öÔ£¬ÔÚ´ËÆÚ¼ä£¬ÏòÐÄÐÔÐļ¡·ÊºñÖð½¥Éú³¤ÎªÑÏÖØµÄ²¡Àí״̬¡£³ýÁËÐÄÊÒ±ÚÔöºñºÍÐÄÊÒÇ»ÈÝ»ý¼õСÍ⣬ͻ±äСÊóÐÄÔàµÄÿ²«Êä³öÁ¿£¨SV£©ºÍÐÄÊä³öÁ¿£¨CO£©ÏÔÖø½µµÍ£¬Õâ½²Ã÷ÆäÒÑת±äΪÊÕËõ¹¦Ð§ÕϰºÍÔçÆÚÐÄÁ¦Ë¥½ß״̬£¬ÖØÏÖÁËÍíÆÚ·ÊºñÐÍÐ¡µÄÁÙ´²ÌØÕ÷¡£ÖµµÃ×¢ÒâµÄÊÇ£¬¸ÃÄ£ÐÍÖдӷʺñµ½Ë¥½ßµÄʱ¼ä½ø³ÌÓëÈËÀà Myh7 R403Q Ð¡µÄ²¡³Ìʱ¼äÏßÏàËÆ£¬Í»ÏÔÁËÆäÔÚÑо¿¼²²¡»úÖÆºÍÖÎÁƸÉÔ¤·½ÃæµÄת»¯Ïà¹ØÐÔ¡£n = 10£¬Êý¾ÝÒÔMean¡ÀSEMÌåÏÖ¡£*P<0.05£¬**P<0.01 by t-test¡£
¢Û Myh6 R404Q+/?СÊóÐÄÔàµÄ¼¡½ÚÎÉÂÒºÍÐÄÔàÖØËÜ

ͼ 3. Myh6 R404Q+/?СÊó8ÔÂÁäÐÄÔàµÄ²¡Àí·ÖÎö
×é֯ѧ½á¹ûÏÔʾ£¬ÓëÒ°ÉúÐÍСÊóÏà±È£¬Myh6 R404Q+/?СÊóÐÄÔà·ºÆð¹ã·ºµÄ¼äÖʺÍѪ¹ÜÖÜΧÏËά»¯£¨ÔÚÈýɫȾɫ / ÌìÀÇÐǺìȾɫÇÐÆ¬ÖзºÆðÀ¶É« / ÂÌÉ«½ºÔ³Á»ý£©£¬Ðļ¡Ï¸°û½á¹¹±»ÆÆ»µ¡£ÏËά»¯²¡±äÂþÑÜÓÚÕû¸öÐÄÊÒ±Ú£¬½²Ã÷ϸ°ûÍâ»ùÖÊÕýÔÚ½øÐн¥½øÐÔÖØËÜ£¬ÕâÊǷʺñÐÍÐ¡£¨HCM£©½øÕ¹µÄÒ»¸ö±êÖ¾¡£ÕâÓë¸ÃÄ£ÐÍÖÐÏÈǰÊӲ쵽µÄÐÄÊä³öÁ¿ÊÜËðºÍÐļ¡·ÊºñÏÖÏóÒ»Ö¡£*P<0.05 by t-test¡£
¢Ü Mavacamten/MYK-461 ¿ÉÓÕµ¼Myh6 R404Q+/?СÊóÐļ¡ËɳÚ

CAMZYOS?£¨Mavacamten£©ÊÇFDAÅú×¼µÄÊ׿îÐÄÔ༡ÇòÂѰ×ÒÖÖÆ¼Á£¬×¨ÃÅÓÃÓÚÐĹ¦Ð§·Ö¼¶Îª II - III ¼¶µÄÓÐÖ¢×´³ÉÈ˹£×èÐԷʺñÐÍÐ¡£¨oHCM£©¡£ÕâÖÖÐÂÐÍÖÎÁÆÒ©Îï¿ÉÑ¡ÔñÐÔµ÷ÖÎ ¦Â- ÐÄÔ༡ÇòÂÑ°× ATP ø»îÐÔ£¬ÌÔÌÌ«¹ýµÄ¼¡¶¯ÂÑ°× - ¼¡ÇòÂѰ׺áÇÅÐγɣ¬Ê¹Ðļ¡ÊÕËõÁ¦Ïò½ÚÄÜµÄ ¡°³¬Ëɳڡ± ״̬ת±ä¡£ÔÚ Myh6 R404Q+/- СÊóÄ£ÐÍÖеÄÁÙ´²Ç°ÑéÖ¤ÏÔʾ³ö¿ìËÙµÄҩЧѧЧӦ¡£ÓëÄ£ÐÍСÊóÏà±È£¬µ¥¼ÁÁ¿MYK-461£¨Mavacamten µÄÁÙ´²Ç°´úÂ룩ÔÚ¸øÒ©ºóµÄ 24 СʱÄÚʹËõ¶Ì·ÖÊý£¨FS£©ÏÔÖø½µµÍÁË 18%¡£ÕâÖÖÊÕËõ¹¦Ð§µÄ¼±ÐÔ½µµÍÓë Mavacamten µÄ×÷ÓûúÖÆÒ»Ö£¬ÆäÖ±½ÓÕë¶Ô¼¡½ÚÌ«¹ýÊÕËõ£¬ÕâÊǷʺñÐÍÐ¡²¡ÀíÉúÀíѧµÄÒ»¸öÌØÕ÷¡£ns ÎÞÏÔÖøÐÔ²îÒ죻****P<0.0001 by t-test¡£
